编者按:为深入学习贯彻党的二十届四中全会精神,更好服务“十五五”发展目标和金融强国建设,促进衍生品业务稳步发展,中证报价投教基地推出“风险管理工具系列”专题,聚焦场外衍生品在提供适配长期投资的风险管理工具、服务实体经济发展中的功能作用,展现其在助力经济社会高质量发展中的实践路径与创新成果。
作者:招商证券创新交易部
在2008年全球金融危机的冲击之下,各国积极探索更科学的风险控制体系。作为场外衍生品领域的核心风控工具,保证金制度及其构建方法论成为重要研究对象。本文系统梳理保证金制度的发展脉络与框架体系,重点解析主流保证金缓释项的定义逻辑与建模方法。针对其中的保证金缓释项,本文以实证的方式,利用真实市场数据进行测算,以此展示这些缓释项发挥的作用,意在说明这些保证金构建方法能够科学的控制风险。本文最后从微观的场外衍生品机构风控体系和宏观的场外衍生品监管机构进行统一风险规划和集中清算的角度,论证了该体系的实务应用价值与监管适配性。
在过去二十余年里,全球权益类场外衍生品展现出强劲的发展势头。国际清算银行(BIS)数据显示,全球权益类场外衍生品名义本金从2000年的2349.5亿美元,蓬勃发展至2024年8090.0亿美元。正如繁茂的枝叶意味着需要经受更多风雨的摧折,2008年,以欧美国家为主的全球权益类场外衍生品名义本金规模一度攀升至2.07万亿美元的高峰,达到同期全球GDP的3%,金融风暴后规模缩减回落。
后危机时代,保证金制度作为各国监管机构与金融机构的共识性风控工具,成为了众多金融机构优化完善的方向之一。它为场外衍生品合约交易双方都强化了风险防范与应对的能力,相较2008年以前,显著降低了场外衍生品市场的风险传染概率,提升了全球金融体系的稳定性。
保证金是场外衍生品交易最基本的风险防控手段之一。在场外衍生品交易中,场外衍生品机构根据交易对手资信情况及合约要素情况,要求交易对手提供履约保证金或可接受的履约保障品,或纳入统一授信机制。
保证金制度在交易对手间清算和维持场外衍生品合约履约能力中发挥了重要的作用,合理的保证金规则能够为交易对手更准确地识别自身对合约下游资产的风险暴露和风险偏好,减少了交易对手发生违约的可能性,在防范市场风险和信用风险作用显著。此外,保证金制度可以防止市场过度波动,维持市场交易稳定。以保证金充当缓冲,防止场外合约损益的剧烈波动扩散到整个市场,在防范流动性风险中起到重要作用,更好地维护金融市场的稳定与健康。
在2008年金融危机后,美国先后出台了《2009年场外衍生品市场法案》及《多德-佛兰克法案》(2010)等一系列法案,建立强制清算规则,要求标准化衍生品合约通过中央对手方清算,并实施分级保证金要求。
欧盟则于2010年通过了《欧盟市场基础设施规则》(EMIR, 2012年生效),强化了对场外衍生品市场的监管,降低了场外衍生品整体的违约风险和连锁违约的概率。
2011年G20峰会推动全球监管框架改革,将非中央清算衍生品纳入保证金监管范畴。2017年3月,我国与美、欧等主要市场同步实施变动保证金制度。
2022年,《期货和衍生品法》正式实施,其中第三十四条、第三十七条等条款涉及了保证金相关的法律依据。此法案的颁布标志着我国场外衍生品业务的法律制度的进一步完善,法律地位得到进一步确立,业务的发展具备了更坚实的法律基础。
这些法案的出台与制度的推进,标志着我国场外衍生品业务将在更有效的监管和更规范的法治下有序进行、蓬勃发展。
保证金体系构建需统筹六维要素:交易对手财务状况、市场环境、标的特性、风险偏好、交易目的及监管要求,形成动态评估系统。
在构建保证金体系时,首先应择定保证金计算模式(初始/变动保证金)与盯市机制(单一标的/单业务/综合账户计算)。
其次应对场外衍生品下游资产综合评估,基于其资产的波动性、估值、风险等维度考虑其可能的波动范围和风险区间,甚至可进一步调研该衍生品标的的参与者结构,以投资、套利、套保、投机等类型进行区分和统计。
然后需要考虑与交易对手成交的场外衍生品合约结构特性,同样的标的资产在线性结构与非线性结构的产品中,其风险评估和保证金的计算结果上可能会产生较大的差异。
交易对手同样是必须考虑的评估维度。不同交易对手对于风险兑付的能力上的差异,会导致保证金的不同;在下游资产的综合评估中,同样需要考虑交易对手与下游资产之间可能存在的关联关系。
宏观的市场环境同样会影响保证金计算结果。趋同的过热或悲观情绪、全市场的潜在信用集中风险等环境因子,对于单一合约的波动放大或流动性危机效应可能是剧烈的,为了补偿此类的风险,在保证金上收取超额的补偿往往是必要的。
最终,基于监管要求的保证金调整是不可或缺的。监管机构对于场外衍生品和全市场风险集中的通盘考量是更全面和前瞻的,将此类监管因素合理地组合在保证金计算体系当中,能够有效防范场外衍生品经营机构无法识别的潜在风险。

图4.1.1:保证金体系构建
投资组合大体可以根据其内部资产的相关程度分为三种类别:高度集中组合、普通组合、高度分散组合,三者内部资产组合呈相关性逐步递减。
对于高度集中组合,组合收取的保证金应大体上大于组合内部各资产保证金的加总;
对于高度分散组合,组合收取的保证金应大体上小于组合内部各资产保证金的加总。
具体的计算模型将在下文“五、(二)组合集中度缓释”小节中详细说明。
此外,以投资的组合进行保证金整体计算,有助于场外衍生品机构对不同风险对象组合进行区分管理,以下是一些可能实行的风险组合划分方式:
资产风格维度:成长类股票组合、价值类股票组合
资产规模维度:高市值股票组合、小市值股票组合
底层资产维度:高科技股票组合、贵金属底层资产组合
交易对手维度:同业合约持仓组合、高风险交易对手持仓组合
合约存续周期维度:短周期持仓组合、长周期持仓组合
依据不同的维度划分投资组合,从而对具有同一特性的持仓组合进行一致性的管理;而对于不具有同一特性的不同投资组合,也可依据其特性差异,在对应的差异因子上设定参数。

图4.2.1:依据不同的维度划分投资组合
如前所述,在构建保证金计算体系时,需要考虑到每个合约结构的特性。举例来说,一个期权产品和一个互换类的线性产品,在面对同一资产标的和相同的市场变动时,由于它们的损益结构不同,交易对手所要承担的损益和风险会有所不同。因此,不同的合约结构需要用不同的估值方法来计算风险。
在利用不同的估值方法时,引入基于情景分析的风险计算方法。针对任意一个复杂的产品结构,模拟一定的市场环境,然后根据该产品结构在这种模拟环境下可能产生的亏损值,来确定该合约所需要的潜在风险补偿。
这样的好处在于,对于繁复的各类场外衍生品结构,都可以采用统一的保证金计算方法对风险进行评估,不同的资产和场外衍生品结构,彼此之间有了做一致性比较的方法。

标的流动性对于一笔场外衍生品合约的风险体现在三个层面:
较差的标的流动性,对于场外衍生品机构的交易员在对冲合约时,会产生较大的对冲成本;
较差的标的流动性,对于合约进入强制平仓环节时,会付出额外的平仓成本;
标的的流动性缺失,往往更容易引起标的本身的巨幅波动。而这种波动有可能会令交易对手在该衍生品合约上蒙受更大的损失,从而加剧前述的对冲成本和平仓成本,进入一种恶性循环之中。
因此,以流动性作为风险缓释项是完全必要的。对于流动性不够充足的标的,赋予更高的保证金水平,一方面加强了在亏损情境下对风险补偿的能力,另一方面,较高的保证金水平也降低了该笔场外衍生品达成交易的可能性,排除了那些资金能力有限的机构成为该标的交易对手。

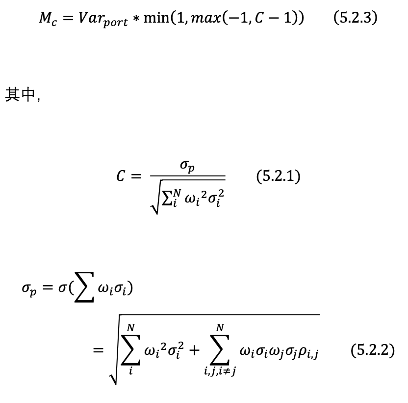
如前文“四、(二)投资组合分类”所述,一个投资组合内部的相关程度或集中度不同,对于整个组合的保证金水平设定也应不同。对于组合内集中度高的,应额外收取集中度风险补偿;对于集中度低的,则可以放宽限制,降低保证金收取水平。
为了有效地度量投资组合的集中程度,引入以下数量模型,来评估投资组合的集中程度C。

由式可见,集中程度的定义为组合的收益标准差与组合单一资产的收益标准差求和的比值。或更简略地翻译为,“组合后的波动程度,除以,单一成员的波动程度的加总”。

以下提供一些计算示例,来体现不同标的和市场情境下,计算出不同的标的保证金,在标的流动性缓释上的差异。
实证目的:通过选取市值差异较大、成交额差异较大的标的,设置不同的存续名义本金规模和预成交规模,体现标的流动性缓释在它们之间的差异以及标的流动性缓释所起到的作用。

实证参数:

样本1:
个股A,采样点2023年1月3日,对应30日日均成交额52.98亿元,对应前一日A股市值21694.54亿元,交易对手存续+预成交规模1亿元。
样本2:
个股B,采样点2023年1月3日,对应30日日均成交额0.09亿元,对应前一日A股市值15.53亿元,交易对手存续+预成交规模1亿元。
样本3:
个股A,采样点2023年1月3日,对应30日日均成交额52.98亿元,对应前一日A股市值21694.54亿元,交易对手存续+预成交规模5亿元。
样本4:
个股B,采样点2022年8月18日,对应30日日均成交额0.40亿元,对应前一日A股市值24.04亿元,交易对手存续+预成交规模5亿元。
表6.1.1:几个样本下的市值、成交额和规模变量


表6.1.2:几个样本下的市值、成交额和规模变量对应的标的流动性缓释

实证观察结论:
比较样本1和样本2,由于样本2的市值偏小,日均成交额偏小,最终的流动性缓释显著高于样本1;
比较样本1和样本3,由于样本3的交易规模过大,最终流动性缓释项显著高于样本1;
比较样本2和样本4,由于样本4所在的时点对应的日均成交额显著增高,因此最终流动性缓释项有所下降。
以此看出,该模型为小市值、合约规模偏大、市场成交不活跃的合约,赋予了更高的保证金要求。
实证目的:选取两个实验组,主动地,一组选取具有高度彼此相关的资产组合,另一组选取不太彼此相关的资产组合。分别对两个实验组应用组合集中缓释度计算,以此体现高相关组合和低相关组合上的保证金差异。

实证参数:

样本1:
定义一个高相关组合,个股X1,个股X2,个股X3,采样点为2023年12月29日过去一年。
样本2:
定义一个低相关组合,个股Y1,个股Y2,个股Y3,采样点为2023年12月29日过去一年。

表6.2.1:几个样本标的选取、标准差及相关系数
实证观察结论:

以上所介绍的保证金计算体系,其中涉及的各类算法,同样可以用于监管对各家场外衍生品机构,或是机构内风险管理部门对前台部门的风险计量。
以表6.1.2.为例,最右列的标的流动性缓释同样可以被视为一种风险的计量指标,风险考核角色对被考核角色提供的存续合约持仓进行相对应的运算,对于输出结果偏高的,予以风险提示和风险管控。

图7.1.1:保证金体系在独立风险测评中的应用
场内集中清算的优势在于各家机构所持有的场外衍生品合约更加透明规范,从监管的角度能够更好地掌握全局的风险情况,更有利于防范系统性风险。
在场内集中清算时,在保证金的设定和计算的环节,可采纳本文介绍的场外衍生品保证金构建方法,从标的风险、组合风险及交易对手风险的维度都做了一定程度的介绍,并具有高度的实用性。希望本文对于场外衍生品的场内集中清算体系构建能够提供一些参考意义。
【免责声明】本文信息仅用于投资者教育之目的,不构成对投资者的任何投资建议,投资者不应当以该等信息取代其独立判断或仅根据该等信息作出决策。本文信息力求准确可靠,但对这些信息的准确性或完整性不作保证,亦不对因使用该等信息而引发或可能引发的损失承担任何责任。


北京市丰台区丽泽路16号院3号楼聚杰金融大厦14层
电话:010-83897323 010-83897832
邮箱:edu@cmdm.org.cn
邮编:100073
意见反馈
投教联盟
免责声明





